-
Thủ tướng: Chuyển đổi tư duy quản trị quốc gia hiện đại, lấy hiệu quả phục vụ làm thước đo cao nhất -
Sửa Luật Thủ đô: Phân quyền mạnh mẽ phải đi kèm kiểm soát quyền lực chặt chẽ -
Quốc hội điều chỉnh chương trình kỳ họp thứ nhất, bổ sung 4 nội dung quan trọng -
Hà Nội: Hát Môn kêu gọi chuyên gia, doanh nghiệp hiến kế phát triển kinh tế -
Quốc hội chốt giảm thuế xăng, dầu đến hết ngày 30/6/2026 -
Chủ tịch Quốc hội Trần Thanh Mẫn hội kiến Giáo hoàng Leo XIV
![]() |
| Tuyến cao tốc Bắc - Nam phía Đông, đoạn Mai Sơn - Quốc lộ 45. |
Cục Đường bộ Việt Nam vừa có văn bản đề nghị Bộ Xây dựng chấp thuận, phê duyệt mức thu phí sử dụng đường bộ cao tốc đối với phương tiện lưu thông trên các đoạn tuyến, tuyến đường bộ cao tốc đã được Bộ Xây dựng phê duyệt Đề án khai thác tài sản kết cấu hạ tầng giao thông đường bộ.
Cơ quan quản lý Nhà nước về đường bộ cũng đề nghị Bộ Xây dựng cho phép căn cứ mức phí được phê duyệt để thực hiện công khai mức thu, phương thức thu, đối tượng nộp, miễn, giảm và các văn bản quy định thu phí tại địa điểm thu, đồng thời công khai trên trang/cổng thông tin điện tử của tổ chức thu phí theo quy định của pháp luật về phí, lệ phí.
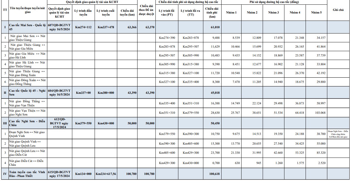
Trước đó, đầu tháng 5/2025, Bộ Xây dựng đã phê duyệt Đề án thu phí hạ tầng giao thông đường bộ cao tốc đối với 5 tuyến gồm: Mai Sơn – Quốc lộ 45; Quốc lộ 45 – Nghi Sơn; Nghi Sơn – Diễn Châu; Vĩnh Hảo – Phan Thiết; Phan Thiết – Dầu Giây.
Theo Đề án, Cục Đường bộ Việt Nam được giao tổ chức thu phí các tuyến cao tốc nêu trên sau khi đáp ứng đầy đủ các điều kiện theo Nghị định số 130/2024/NĐ-CP của Chính phủ; đồng thời tổ chức, quản lý việc thu phí sử dụng đường bộ cao tốc theo quy định pháp luật hiện hành.
Căn cứ tiến độ xây dựng trạm dừng nghỉ và hệ thống giao thông thông minh, Cục Đường bộ Việt Nam đề xuất thu phí đối với 5 tuyến cao tốc nêu trên.
Trong đó, 4 tuyến gồm Mai Sơn – Quốc lộ 45; Quốc lộ 45 – Nghi Sơn; Nghi Sơn – Diễn Châu; Vĩnh Hảo – Phan Thiết (quy mô 4 làn xe, có làn dừng khẩn cấp không liên tục, chưa đáp ứng đầy đủ yêu cầu theo Luật Đường bộ) áp dụng mức phí 900 đồng/km. Riêng tuyến Phan Thiết – Dầu Giây, đáp ứng đầy đủ điều kiện thu phí (4 làn xe, có làn dừng khẩn cấp liên tục), áp dụng mức phí 1.300 đồng/km.
Theo Bộ Xây dựng, 5 tuyến cao tốc này sẽ được khai thác trong thời hạn 7 năm kể từ ngày bắt đầu thu phí. Phương thức khai thác được xác định theo hướng cơ quan quản lý tài sản trực tiếp tổ chức khai thác tài sản kết cấu hạ tầng giao thông đường bộ.
Hiện Cục Đường bộ Việt Nam đang đẩy nhanh tiến độ hoàn thiện các cơ sở pháp lý và điều kiện tổ chức thu phí, bao gồm hệ thống Back-End thu phí cao tốc, hệ thống giám sát, điều hành đường cao tốc, đường truyền kết nối, trạm dừng nghỉ… nhằm triển khai thu phí 5 tuyến cao tốc nêu trên trong quý I/2026.
Mức phí 3 tuyến cao tốc: Mai Sơn – Quốc lộ 45; Quốc lộ 45 – Nghi Sơn; Nghi Sơn – Diễn Châu.

Mức phí 2 tuyến cao tốc: Vĩnh Hảo – Phan Thiết; Phan Thiết - Dầu Giây.
![]() |
.
-
Thủ tướng Chính phủ Lê Minh Hưng bấm nút khởi công tuyến đường sắt tốc độ cao Hà Nội - Quảng Ninh -
Thủ tướng: Chuyển đổi tư duy quản trị quốc gia hiện đại, lấy hiệu quả phục vụ làm thước đo cao nhất -
Sửa Luật Thủ đô: Phân quyền mạnh mẽ phải đi kèm kiểm soát quyền lực chặt chẽ -
Tổng vốn đầu tư nước ngoài đăng ký vào Việt Nam tăng 42,9% trong quý I/2026
-
Quốc hội điều chỉnh chương trình kỳ họp thứ nhất, bổ sung 4 nội dung quan trọng -
Hà Nội: Hát Môn kêu gọi chuyên gia, doanh nghiệp hiến kế phát triển kinh tế -
Quốc hội chốt giảm thuế xăng, dầu đến hết ngày 30/6/2026 -
Chủ tịch Quốc hội Trần Thanh Mẫn hội kiến Giáo hoàng Leo XIV -
Địa phương xin bổ sung cán bộ biệt phái hỗ trợ công tác GPMB Cảng Mỹ Thuỷ -
Quảng Ninh: Xác định vị thế mới cho cảng Con Ong – Hòn Nét -
TP.HCM yêu cầu xử lý vướng mắc, không để thủ tục làm chậm dự án chiến lược
-
Agribank giảm lãi suất, phát huy vai trò chủ lực trong hỗ trợ tăng trưởng kinh tế -
SeABank thông báo mời thầu
-
Công bố Top 10 Doanh nghiệp ESG Việt Nam Xanh 2026 ngành Dược - Thiết bị Y tế -
QueenLand Group - Đại lý phân phối chiến lược dự án Vinhomes Global Gate Hạ Long -
Bảo hiểm Nhân thọ FWD Việt Nam ra mắt sản phẩm “FWD Đầu tư đón đầu” -
SeABank giảm 0,5%/năm lãi suất huy động


